A HosCom International 2025 Vol. 1 Article
SARAYA Healthcare Hygiene News
The Unique Matching Technology of Disinfectants and Moisturizers: The Development History of Hibiscohol A
Authors:
Dr. Koji Kihara, SARAYA Co., Ltd.
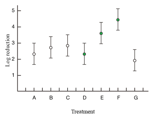
Cumulative efficacy of the disinfectant of Hibiscohol A
Hibiscohol A is an alcohol-based, quick-drying hand disinfectant containing chlorhexidine gluconate (CHG), as well as the emollients, diisobutyl adipate (DIBA) and PEG-7 glyceryl cocoate (GC). The outstanding feature of this product is that the emollients (DIBA and GC), which are formulated to reduce roughness on the skin, significantly enhance the bactericidal effect of CHG remaining on the skin after the alcohol in the solution evaporates. Here, we introduce an example study showing that when Hibiscohol A is used frequently, the emollient enhances the bactericidal effect of CHG after the alcohol evaporates.
Hibiscol A (Also known as Alsoft Liquid Hand Disinfectant A)
Hibiscohol A was applied to palms contaminated with Escherichia coli, and the E. coli remaining on the skin was sampled using the glove juice method. Log reduction in the number of bacteria according to the number of applications of the solution was compared with that achieved by an ethanol disinfectant solution containing CHG but not an emollient, CHG-EtOH (Table 1 and Fig. 1)1. CHG-EtOH tended to decrease the number of viable bacteria after one to five applications. However, there was no significant difference in the reduced bacterial count depending on the number of applications. On the other hand, Hibiscohol A showed a remarkable decrease in viable bacteria as the number of applications increased. This cumulative effect is expected to further enhance the persistent antimicrobial activity ofHibiscohol A over repeated use in healthcare settings.

Log reduction = log (total viable bacterial counts contaminated) -log (viable bacterial counts recovered)
A: CHG-EtOH (one disinfection and contamination)
B: CHG-EtOH (three disinfections and contaminations)
C: CHG-EtOH (five disinfections and contaminations)
D: Hibiscohol A (one disinfection and contamination)
E: Hibiscohol A (three disinfections and contaminations)
F: Hibiscohol A (five disinfections and contaminations)
G: baseline (no disinfection and contamination)
95% confidence interval: ±0.73
Skin moisturizing effect of Hibiscohol A
Frequent use of alcohol-based hand disinfectant among healthcare workers can lead to dryness and roughness of the skin. In general, it is said that rough skin is closely related to the water-holding capacity of the stratum corneum, the most superficial layer of the epidermis2. The effect of Hibiscohol A on the water-holding capacity was compared with that of disinfectant ethanol (Solution A); two types of commercially available alcohol-based hand disinfectants, 0.2w/v% benzalkonium chloride preparation (Solution C) and 0.5w/v% povidone-iodine preparation (Solution D); and disinfectant ethanol containing 0.5w/v% CHG (Solution E) (Fig. 2)3. Hibiscohol A was superior in retaining the water-holding capacity of the stratum comeum compared with Solutions A and E, which do not contain emollient ingredients. From this result, it can be inferred that workers who need to disinfect their hands frequently, particularly healthcare workers, should use a hand disinfectant, such as Hibiscohol A, that retains the high water-holding capacity of the stratum corneum and can significantly reduce rough skin.
A: ethanol for disinfection
B: Hibiscohol A
C: alcoholic 0.2w/v% benzalkonium chloride
D: alcoholic 0.5w/v% povidone iodine
E: alcoholic 0.5w/v% chlorhexidine.
Bar represent 95% condifence interval. * ; p<0.05, ** ; p<0.01.
Hibiscohol A patent acquisition

Alcohol-based hand rubs (ABHR) in general are highly convenient as disinfectants that are both fast-acting and quick-drying. However, after the alcohol evaporates, not only does the disinfecting effect disappear, but there is also concern that dry skin can cause rough hands. To solve these problems, ABHR was formulated with antibacterial agents that have a residual effect and emollients to prevent rough skin. However, in many cases, the antibacterial activity of CHG and cationic antibacterial agents is reduced by coexisting organic matter, such as emollients. Therefore, we have been searching for an emollient that prevents rough skin without reducing the antibacterial activity of CHG remaining on the skin after ethanol evaporates. As a result, we have surprisingly discovered that DIBA and GC enhance this antibacterial activity and have obtained patents in the United States and Japan4-6. These patents served as the foundation for the subsequent development and expansion of Hibiscohol-related products.

-
Publication Date:April 24, 2025
-
Category:Hand Hygiene
HosCom International 2025 Vol. 1
Other Articles in this volume
References
- Taro Furuta, Koji Kihara, Makoto Takechi, Hirofumi Ogase, and Isamu Nagai, "Comparative study of the antimicrobial effect of two alcoholic preparations containing chlorhexidine digluconate on the normal flora and the artificial contaminations of the hands", Antibacterial and Antifungal Agents, 15, 505-510 (1987).
- Hachiro Tagami, "Evaluation of the measurement of the moisturizing effect of the skin surface", Journal of Fragrances, 56, 14-18 (1982).
- Koji K.ihara, Yuji Murata, Taro Furuta, and Nobuhiko Higashi, "Effect of various alcoholic hand disinfectants on water content of skin surface", Skin Research,36(3), 349- 353 (1994).
- Disinfection composition for medical use, US Patent 5017617 (1991).
- Disinfection composition, Kokoku (examined patent publication) No. 4-33226 (1992).
- Disinfection composition, Kokoku (examined patent publication) No. 5-63446 (1993).